
重磅论文

中国在量子计算领域再度突破!
中科大潘建伟教授及其同事陆朝阳、刘乃乐、汪喜林等通过调控六个光子的偏振、路径和轨道角动量三个自由度,在国际上首次实现18个光量子比特的纠缠,刷新了所有物理体系中最大纠缠态制备的世界纪录!
作为国际前沿的量子信息科研团队之一,潘建伟团队已经在光子体系上率先实现了五光量子、六光量子、八光量子和十光量子纠缠,一度保持着国际领先水平。此次实现18个光量子比特的纠缠,该成果可进一步应用于大尺度、高效率的量子信息技术,表明我国继续在国际上引领多体纠缠的研究。
打破自己10光量子纠缠记录,创造所有物理体系纠缠态制备的新世界纪录
多个量子比特的相干操纵和纠缠态制备是发展可扩展量子信息技术,特别是量子计算的最核心指标。量子计算的速度将随着可操纵的纠缠比特数目的增加而指数级提升。但要实现多个量子比特的纠缠,需要进行高精度、高效率的量子态制备和独立量子比特之间相互作用的精确调控。同时,随着量子比特数目的增加,操纵时所带来的噪声、串扰和错误也随之增加。这对量子体系的设计、加工和调控要求极高,成为量子纠缠和量子计算发展的巨大挑战。
过去20年,潘建伟及其同事一直在国际上引领着多光子纠缠和干涉度量的发展,并在此基础上开创了光子的多个自由度的调控方法。2015年,通过实现对光子偏振和轨道角动量两个自由度的量子调控技术和单光子非破坏测量,潘建伟、陆朝阳研究组首次实现单光子多自由度的量子隐形传态,相关成果被英国物理学会新闻网站“物理世界”选为“国际物理学年度突破”。
2016年底,潘建伟团队同时实现了10个光量子比特和10个超导量子比特的纠缠,刷新并一直保持着这两个世界记录。
通过多年技术攻关,潘建伟团队自主研发了高稳定单光子多自由度干涉仪,实现了不同自由度量子态之间的确定性和高效率的相干转换,完成了对18个量子比特的262144种状态的同时测量。在此基础上,研究组成功实现了18个光量子比特超纠缠态的实验制备和严格多体纯纠缠的验证,创造了所有物理体系纠缠态制备的世界纪录。
具体技术:实验证明18个量子比特GHZ纠缠
对多个粒子的多个自由度实现完全控制是量子信息处理的基本能力。我们通过同时利用6个光子的3个不同自由度,包括它们的路径、偏振和轨道角动量,实验证明了18个量子比特Greenberger-Horne-Zeilinger(GHZ)纠缠。
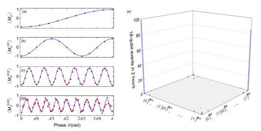
研究人员开发了高稳定性的干涉仪,用于光子的不同自由度之间的可逆量子逻辑运算,其精度和效率接近于一,可以同时读出18个量子比特状态产生的218=262144种结果组合。测量到的量子态保真度为0.708±0.016,证明全部18个量子比特的真实纠缠。

图1:用于创建和验证由6个光子和3个组成的18量子比特GHZ态的方案和实验装置。
上图中展示了用于创建和验证由6个光子和3个组成的18量子比特GHZ态的方案和实验装置。其中,
(a):六光子偏振纠缠GHZ态的产生。中心波长为为788nm,脉冲持续时间为140fs,重复频率为80MHz超快激光聚焦于三硼酸锂(LBO)并向上转换为394nm。
紫外激光聚焦在三个专门设计的三明治型非线性晶体,每个晶体由两个2毫米厚的β-硼酸钡(BBO)一个HWP组成,产生三对纠缠光子。
在每个输出中,使用了不同厚度和方向的两块YVO晶体,以对双折射效应进行空间和时间补偿。这三对纠缠光子结合在两个偏振分束器(PBS)上,产生六光子偏振纠缠的GHZ态。
(b):对于每个单光子,它通过一个双PBS发送,并且两个SPP在单光子三量子比特态下制备。
(c):采用闭合(虚线)或开放(无虚线)干涉配置测量空间量子比特。
(d):偏振测量。
(e):通过交换门(inset)将OAM转换为偏振,从而实现高效率、双通道的OAM读出。
(f):(b)和(c)中实际使用的装置的照片。通过垂直平移,可以方便地在打开和关闭之间切换
(g):对空间(f)和OAM(h)测量中的可见性进行实时检测。
(h):(e)中实际使用的装置的照片。

图2:18量子比特GHZ纠缠的实验数据。
抢占“量子霸权”制高点,纠缠态制备是关键
由于量子信息技术的潜在价值,欧美各国都在积极整合各方面研究力量和资源,开展国家级的协同攻关。其中,欧盟在2016年宣布启动量子技术旗舰项目;美国国会则于6月27日正式通过了“国家量子行动计划”(NationalQuantumInitiative,NQI),确保自己不会落后其他发展量子技术的国家。
国外高科技巨头,比如谷歌、微软、IBM等也纷纷强势介入量子计算研究,并且频频宣告进步。
尤其是谷歌。谷歌从2014年开始研究基于超导超导的量子计算机。今年3月,谷歌宣布推出72量子比特的量子计算机,并实现了1%的低错误率;5月,谷歌在《自然-物理学》发表文章,描述了从随机量子电路的输出中采样位元串(bit-strings)的任务,这可以被认为是量子计算机的“helloworld”程序。在另一篇发表于Science的论文《用超导量子比特演示量子霸权的蓝图》(Ablueprintfordemonstratingquantumsupremacywithsuperconductingqubits)中,谷歌阐述了量子霸权的蓝图,并首次实验证明了一个原理验证的版本。
不过,IBM、英特尔、谷歌等宣布实现的量子计算机原型,这些量子比特并没有形成纠缠态。单纯比拼物理量子比特数,这一优势在应用层面尚无太大意义。
前文也说了,多个量子比特的相干操纵和纠缠态制备是发展可扩展量子信息技术,特别是量子计算的最核心指标。为什么?
经典计算机是通过一串二进制代码0和1来编码和操纵信息。量子比特所做的事情在本质上并没有区别,只是它们能够处在0和1的叠加态下。换而言之,当我们测量量子比特的状态时,会得到一个一定概率的0或1。
为了用许多这样的量子比特执行计算任务,它们必须持续地处在一种相互关联的叠加态下,即所谓的量子相干态。这些量子比特处于纠缠之中,一个比特的变化能够影响到剩下所有的量子比特。因此,基于量子比特的运算能力将远远超过传统比特。
传统电子计算机的运算能力随着比特位的增加呈线性增长,而每增加一个量子比特位,则有可能使量子计算机的运算能力加倍(呈指数增长)。这也就是为什么5量子比特位和50量子比特位的量子计算机有天壤之别。
不过,真正重要的不仅仅是有多少个量子比特(这甚至不是主要因素),而是量子比特的性能好坏,以及算法是否高效。
五光子、六光子、十光子到18个光量子,多粒子纠缠一直引领世界
多粒子纠缠的操纵作为量子计算的技术制高点,一直是国际角逐的焦点。在光子体系,潘建伟团队在国际上率先实现了五光子、六光子、八光子和十光子纠缠,一直保持着国际领先水平。
在超导体系,2015年,谷歌、美国航天航空局和加州大学圣芭芭拉分校宣布实现了9个超导量子比特的高精度操纵。这个记录在2016年底被中国科学家团队打破:潘建伟、朱晓波、王浩华等自主研发了10比特超导量子线路样品,通过发展全局纠缠操作,成功实现了当时世界上最大数目的超导量子比特的纠缠和完整的测量。
50个光子纠缠能让量子模拟机计算能力超越“天河二号”
2017年5月3日,潘建伟教授及其同事陆朝阳、朱晓波等,联合浙江大学王浩华教授研究组攻关,利用自主发展的综合性能国际最优的量子点单光子源,通过电控可编程的光量子线路,构建了针对多光子“玻色取样”任务的光量子计算原型机。
潘建伟说,这是历史上第一台超越早期经典计算机的基于单光子的量子模拟机,为最终实现超越经典计算能力的量子计算奠定了基础。

多光子玻色子采样的实验装置示意图。该设置包括4大关键部分:单光子源、多路复解析器(demulitplexer)、超低损耗光子测量阵列和光子探测器。
2015中国计算机大会上,潘建伟发表报告《量子计算与量子模拟》,并表示由于高精度量子操控技术的极端复杂性,目前量子计算研究仍处在早期发展阶段,像经典计算机那样具有通用功能的量子计算机最终能否成功,对整个科学界还是个未知数。
但是,理论研究表明,与通用量子计算机相比较,量子模拟机这样一类针对解决一些重大问题的专用量子计算机,在量子比特数目等方面的技术要求并没有那么高。例如,对“波色取样”这样的问题,一旦达到50个左右光子的纠缠,量子模拟机的计算能力就能超过“天河二号”超级计算机。
潘建伟说,量子模拟具有重大实用价值,可为人类开发新材料和新能源提供重要指导,孕育和推动物质科学领域新一代技术革命和产业变革,有望在10至15年内取得重大突破。
这次实现18个光量子比特的纠缠,无疑是朝着这一方向发展所迈出的有力一步。
参考资料: