
据不完全统计,截至2019年7月底,中国开发或自主创制并获得过登记的农药新品种有54个(见表1),获得正式登记的有37个。
严格意义上讲,获得过农药登记的部分化合物不属于创制品种,因为化合物的化学结构和生物活性早有报道。通常认为,化学结构和活性都是未知,或者化学结构已知但活性未知的才算创制品种。其中获得正式登记的部分品种和未正式登记的部分品种,由于具有市场潜力、药害或毒性或性价比优势有限等而导致其并未被广泛应用,有些专利没有到期但因未缴年费而导致专利权终止,故现在市场上大面积推广应用农药品种的也就10多种。
作者对22个杀菌剂(含杀细菌剂和抗病毒剂)从化学结构(包括CAS号,他不仅仅代表一个确定的化合物,还与公开的时间有关,CAS号越小,其发现或公开时间越早)、性能、创制经纬、作用机理以及专利和登记情况进行介绍,以期为新农药创制工作者提供参考和思路,以利于未来更好地创新。
表1中国创制或开发农药品种一览表(按登记顺序)

1.金核霉素(aureonuclemycin)
金核霉素(开发代号:SPRI-371,英文名:aureonuclemycin)系由上海市农药研究所发现并开发的微生物源杀菌剂。

该类化合物的酯化物由Arai等于1974年从链霉菌Streptomycessaganonensis培养基中提取,并发现其具有杀菌、除草活性,1981年日本三共株式会社发现其对黄瓜炭疽病具有较好的杀菌活性。上海市农药研究所于1981年6月从苏州东山地区采集的土壤中分离得到金色链霉菌苏州变种SP-371()经培养发酵首次确认并得到金核霉素,田间药效及安全性试验表明,金核霉素对由黄单胞杆菌Xanthomonas引起的细菌性病害如柑橘溃疡病、水稻白叶枯病、水稻条斑病等有很好的防效,对人畜与环境安全,但对水稻(在扬花期使用)等有药害,因此限制了其应用。
金核霉素专利:新抗生素金核霉素的制备方法,申请日期:19870318,专利号:,专利权人:上海市农药研究所,1997因为未缴年费专利权终止。上海农乐生物制品股份有限公司曾获得过94%金核霉素原药(LS20021932)和30%金核霉素可湿性粉剂(防治柑橘溃疡病,LS20031504)的临时登记,现均已过期。
2.宁南霉素(ningnanmycin)
宁南霉素(通用名称:ningnanmycin)是中国科学院成都生物研究所经历多年国家科技攻关,于1993年发现的胞嘧啶核苷肽型抗生素类杀菌剂。

国外于1962年报道了其同分异构体gougerotin,对其化学结构和性质进行了深入的研究,1973年日本公开了gougerotin的组合物及抗白粉病的专利[52]。中国科学院成都生物研究所于1993年从四川省宁南县土壤中分离得到诺尔斯链霉菌西昌变种(),经发酵培养获得了宁南霉素。其对革兰氏阴性和阳性细菌具有抑制作用,对多种真菌性病害、细菌性病害及病毒病均有效,尤其对水稻白叶枯病,小麦、黄瓜等白粉病的病原菌有良好的防治效果,该药还可诱导植物产生病程相关(PR)蛋白,破坏病毒粒体结构,从而达到防治作物病毒病的效果。
专利名称:一种抗生素新农药—宁南霉素,申请日期:19930423,专利号:,专利权人(专利权转让):黑龙江强尔生化技术开发有限公司,2013年专利权有效期届满失效。2009年,德强生物股份有限公司取得了40%宁南霉素母药(PD20097120)、2%宁南霉素水剂(PD20097121)、8%宁南霉素水剂(PD20097122)以及其他剂型与混剂的正式登记。四川金珠生态农业科技有限公司也于2018年获得了40%宁南霉素母药(PD20180387)、2%、4%、8%宁南霉素水剂(PD20180828、PD20180623、PD20180223)的正式登记。
3.氟吗啉(flumorph)
氟吗啉(试验代号:SYP-L190,通用名称:flumorph)是由沈阳化工研究院于1994年创制、开发的中国第一个发明杀菌剂,第一个获得美国、欧洲发明专利的、第一个获得ISO通用名称的、第一个在国外登记销售的创新农药品种。

该化合物是在天然产物肉桂酸和仿生杀菌剂烯酰吗啉(dimethomorph)的基础上,引入氟原子而得到的含氟杀菌剂。主要用于防治卵菌纲病原菌引起的黄瓜、葡萄、辣椒、番茄等蔬菜的霜霉病和晚疫病,尤其用于防治抗性病害,推荐剂量下对作物安全、无药害。氟吗啉不仅具有很好的保护作用即预防作用,而且有很好的治疗作用,治疗作用明显优于烯酰吗啉。其作用机理是通过抑制卵菌细胞壁的形成而起作用,因氟原子特有的性能如模拟效应、阻碍效应、渗透效应,致使氟吗啉的杀菌效果倍增。
专利名称:含氟二苯基丙烯酰胺类杀菌剂,优先权日期:19950828,专利号:,专利权人:化学工业部沈阳化工研究院;欧洲专利申请日期:19970221,授权公告号:EP860438;美国专利申请日期:19980209,授权公告号:US6020332,同时还申请了德国DE69718288和西班牙ES2189918等国专利,专利权人:化学工业部沈阳化工研究院。目前,氟吗啉及其混剂产品有4家公司10余个登记产品在销售。最早于1999年沈阳科创化学品有限公司获得90%氟吗啉原药临时登记(LS992117),后期又取得了95%氟吗啉原药(PD20060039)及20%氟吗啉可湿性粉剂(PD20095953)、30%氟吗啉悬浮剂(PD20173229)、60%氟吗啉水分散粒剂(PD20161545)以及其混剂的正式登记;还有其他三家企业也获得氟吗啉相关混剂的正式登记,产生了很好的经济、社会和生态效益。
4.烯肟菌酯(enoxastrobin)与烯肟菌胺(fenaminstrobin)
烯肟菌酯(试验代号:SYP-Z071,通用名称:enoxastrobin)和烯肟菌胺(试验代号:SYP-1620,通用名称:fenaminstrobin)均为沈阳化工研究院与美国罗门哈斯(现科迪华)共同合作研发的甲氧基丙烯酸酯类杀菌剂。
该类化合物最早由ICIPLC(帝国化学工业公司)合成,发现其具有杀菌、杀虫和杀螨活性,于1989年申请了甲氧基丙烯酸酯类化合物专利,1992年又申请了肟醚酰胺类化合物专利。
烯肟菌酯是国内开发的第1个甲氧基丙烯酸酯类杀菌剂,对黄瓜、葡萄霜霉病、小麦白粉病等有良好的防治效果,于发病前或发病初期喷雾,对黄瓜生长无药害;烯肟菌胺则对白粉病和锈病具有很好的防治效果。这两个药剂同为真菌线粒体呼吸抑制剂,通过与细胞色素bc1复合体的结合,抑制线粒体的电子传递,从而破坏病菌能量合成,起到杀菌作用。
烯肟菌酯申请专利的名称:不饱和肟醚类杀虫、杀真菌剂,申请日期:19980210,专利号:,专利权人:化学工业部沈阳化工研究院与美国罗门哈斯,但在欧洲、美国等专利权利人均为美国罗门哈斯(现科迪华)。烯肟菌胺的专利名称:不饱和肟醚类杀菌剂,申请日期:20000224,专利号:,专利权人:沈阳中化农药化工研发有限公司。2007年,沈阳科创化学品有限公司取得了90%烯肟菌酯原药(PD20070339)、25%烯肟菌酯乳油(PD20070340,用于防治黄瓜霜霉病)以及其混剂的正式登记。2009年,取得了98%烯肟菌胺原药(PD20095214)、5%烯肟菌胺乳油(PD20095213,防治小麦白粉病)以及其混剂的正式登记。
5.噻菌铜(thiodiazole-copper)与噻唑锌(zinc-thiazole)
噻菌铜(通用名称:thiodiazole-copper)是由浙江龙湾化工有限公司开发并登记;噻唑锌(通用名称:zinc-thiazole)是浙江新农化工股份有限公司进行开发登记,二者均为噻二唑类有机金属杀细菌剂。

以上2个化合物早在1965年就有报道,1999年浙江龙湾化工有限公司发现其具有杀细菌活性,申请了铜的络合物专利,后浙江新农化工股份有限公司发现锌、锰、镍也都有活性,于是也申请了专利,开发为杀细菌剂。
噻菌铜内吸性能好,主要防治大白菜软腐病、柑橘溃疡病、菜豆角斑病、茄科青枯病、水稻基腐病等细菌性病害,具有很好的防效,除强碱性农药外,噻菌铜均可与其他各类农药混配或混用。噻唑锌主要对水稻、果树、蔬菜作物的细菌性病害防治效果优异,对部分真菌病害的预防、保护和控制效果也比较理想,持效期长达15d。
噻菌铜与噻唑锌的化学结构类似,具有相同的噻二唑基团,该基团在植物体外对细菌抑制力差,但在植物体内却是高效的治疗剂;而铜离子和锌离子具有既杀细菌又杀真菌的作用,可与病原菌细胞膜表面上的阳离子交换,导致病菌细胞膜上的蛋白质凝固而杀死病菌。铜离子也可渗透进入病原菌细胞内,与某些酶结合,影响其活性,导致机能失调,病菌因而衰竭死亡。
噻菌铜专利:主克白叶枯病的杀菌剂,申请日期:19990111,专利号:,专利权人:温州市龙湾化工厂,2019年有效期届满失效。噻唑锌专利:噻二唑类金属络合物及其制备方法和用途,申请日期:20001215,专利号:,专利权人:浙江新农化工有限公司。目前,浙江龙湾化工有限公司取得了95%噻菌铜原药(PD20086025)和20%噻菌铜悬浮剂(PD20086024)的正式登记;江苏新农化工有限公司取得了95%噻唑锌原药(PD20160049)和30%噻唑锌悬浮剂(PD20161209)及其混剂的正式登记。
6.啶菌噁唑(pyrisoxazole)
啶菌噁唑(试验代号:SYP-Z048,通用名称:pyrisoxazole)是沈阳化工研究院与美国罗门哈斯(现科迪华)共同开发的一种新型异噁唑烷类杀菌剂。

啶菌噁唑是一个结构新颖的农用杀菌剂,对灰霉病有优异的防治效果,不仅可有效防治黄瓜、番茄、韭菜、草莓等蔬菜、水果的灰霉病,对小麦、黄瓜白粉病等也有实效。
该化合物最早为罗门哈斯研制,其专利申请日:19990311,授权公告号:US60123783,之后沈阳化工研究院申请了中国专利:用作杀菌剂的杂环取代的异噁唑啉类化合物,申请日期:19990714,专利号:,当前专利权人:沈阳中化农药化工研发有限公司。目前,沈阳科创化学品有限公司取得了90%啶菌噁唑原药(PD20080773)、25%啶菌噁唑水乳油(PD20170676)、25%啶菌噁唑乳油(PD20080774)以及其混剂的正式登记。
7.氰烯菌酯(phenamacril)
氰烯菌酯(试验代号:JS399-19,通用名称:phenamacril)是江苏农药研究所开发的一种氰基丙烯酸酯类杀菌剂。

该化合物曾于1965年公开,但并无生物活性报道,江苏农药研究所发现其具有较好的杀菌活性,进行了开发。氰烯菌酯对镰刀菌引起的小麦赤霉病、水稻恶苗病等有效,经田间试验比较表明,氰烯菌酯防治小麦赤霉病优于多菌灵,防治水稻恶苗病优于咪鲜胺。该化合物作用机理独特,与现有杀菌剂没有交互抗性,其作用于禾谷镰孢菌肌球蛋白-5,可强烈抑制病菌菌丝生长和发育。
专利名称:2-氰基-3-取代苯基丙烯酸酯类化合物、组合物及其制备方法以及在农作物杀菌剂上的应用,申请日期:20010508,专利号:,专利权人:江苏省农药研究所。2012年,江苏省农药研究所股份有限公司取得95%氰烯菌酯原药(PD20121663)和25%氰烯菌酯悬浮剂(PD20121670,用于防治水稻恶苗病和小麦赤霉病)的正式登记。
8.长川霉素(ascomycin)
长川霉素(开发代号:SPRI-2098,英文名:ascomycin)系由上海市农药研究所发现并开发的微生物源杀菌剂。

长川霉素是大环内酯类农用抗生素杀菌剂,是从中国广西梧州地区的土壤中分离而得的生黑孢链霉菌广西变种()发酵而得。其化学结构经确认与国外1962年发现的具有杀菌活性的抗生素ascomycin为同一物质,该杀菌剂对黄瓜灰霉病、玉米小斑病、菌核病、白粉病等多种真菌病害有较好的防治效果。试验中发现长川霉素虽有根部内吸作用,但无叶片内吸传导作用。
长川霉素专利:长川霉素农用杀菌剂及其制备方法和应用,申请日期:20011008,专利号:,专利权人:上海市农药研究所,2015因为未缴年费专利权终止。浙江海正化工股份有限公司曾获得了94%长川霉素原药(LS20072567)和1%长川霉素乳油(防治番茄灰霉病,LS20090369)的临时登记,现均已过期。
9.申嗪霉素(phenazino-1-carboxylicacid)
申嗪霉素(phenazino-1-carboxylicacid)是上海交通大学生命科学技术学院和上海农乐生物制品股份有限公司共同研究开发的微生物源杀菌剂。

1930年Fritz等从芽孢杆菌细菌代谢物中得到吩嗪-1-羧酸,1975年Aizenman等发现该化合物在有效剂量下,对各种真菌均有抑制效果,后续国外又有对其杀菌活性的报道,国内最早由欧进国等于1982年报道了它的合成方法。1997年,上海交通大学从上海郊区甜瓜根际周围的土壤中,分离得到一株对多种植物病原菌具有强大抑菌作用的荧光假单胞菌株M18。科研人员经过多年研究,从荧光假单胞菌株M18的发酵液中提取纯化并鉴定了主要的抗菌活性物质,其化学结构为已知具有生物活性的化合物吩嗪-1-羧酸。后经进一步研究实现了产业化,对水稻纹枯病病害有较好的防效。
该化合物制备方法最早于2002年申请专利:吩嗪-1-羧酸生产菌培养基及吩嗪-1-羧酸制备方法,并未授权。后又申请“利用促生拮抗菌M18衍生菌株制备杀菌剂的方法”,申请日期:20060119,获得了授权:,专利权人:上海交通大学,但因未缴年费,2014年专利权终止。2011年,上海农乐生物制品股份有限公司获得95%申嗪霉素原药(PD20110314)和1%申嗪霉素悬浮剂(PD20110315)的正式登记。
10.苯醚菌酯(ZJ-0712)
苯醚菌酯(试验代号:ZJ-0712)是国家“九五”期间由浙江化工研究院开发的甲氧基丙烯酸甲酯类杀菌剂。

该化合物包含在巴斯夫1987年申请的专利DE3545319中,浙江化工研究院进行详尽研究,并实现了产业化。该药剂对作物上的白粉病、霜霉病、炭疽病等病害有良好的生物活性,可作为瓜类、果树、蔬菜、小麦、烟草、花卉等作物的杀菌剂。其作用机理为线粒体呼吸抑制剂。
中国申请了其组合物专利:甲氧基丙烯酸甲酯类化合物杀菌剂,申请日期:20030325,专利号:,专利权人:中化蓝天集团有限公司和浙江省化工研究院有限公司。2015年,浙江禾田化工有限公司取得98%苯醚菌酯原药(PD20151573)和10%苯醚菌酯悬浮剂(PD20151574,防治黄瓜白粉病)的正式登记。
11.氟唑活化酯(B2-a)
氟唑活化酯,又名B2-a,是由华东理工大学和江苏南通泰禾化工有限公司合作开发的植物诱抗剂。

该化合物的先导化合物选自先正达开发的活化酯(acibenzolar),引入三氟甲基进一步优化而得。这类化合物本身并无杀菌活性,但施于植物表面可激活植物免疫系统,从而增强对病原菌的侵染,主要用于预防黄瓜霜霉病和白粉病。
专利名称:苯并噻二唑类化合物及其在植物细胞中的应用,申请日期:20030516,专利号:,专利权人:华东理工大学和大连理工大学,2016年未缴年费专利权终止。南通泰禾化工股份有限公司于2015年获得了农药部颁发的临时登记证,分别为98%氟唑活化酯原药(LS20150091)、5%氟唑活化酯乳油(LS20150102,防治黄瓜白粉病),现已过期。
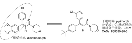
12.丁吡吗啉(pyrimorph)
丁吡吗啉(试验代号:ZNO-0317,通用名称:pyrimorph)是由中国农业大学、江苏耕耘化学有限公司和中国农业科学院植物保护研究所联合研究开发的丙烯酰胺类杀菌剂。

该化合物是在烯酰吗啉(dimethomorph)的基础上,用吡啶环替换苯环,经优化得到。主要防治各类作物疫病,如番茄晚疫病、辣椒疫病、西瓜疫病、马铃薯疫病等。虽然与烯酰吗啉结构类似,但丁吡吗啉对致病疫霉有抑制作用,无杀菌作用,而烯酰吗啉则表现很好的杀菌活性,并且烯酰吗啉有较好的内吸输导活性,而丁吡吗啉治疗效果和内吸输导性较差,这说明两种杀菌剂在作用特性和作用方式上存在差别。
化合物专利名称:4-[3-(吡啶-4-基)-3-取代苯基丙烯酰]吗啉—一类新型杀菌剂,申请日期:20030701,专利号:,专利权人:中国农业大学。2018年,江苏耕耘化学有限公司获得95%丁吡吗啉原药(PD20181610)和20%丁吡吗啉悬浮剂(防治番茄晚疫病和辣椒疫病,PD20181611)的正式登记。
13.丁香菌酯(coumoxystrobin)
丁香菌酯(试验代号SYP-3375,通用名称:coumoxystrobin)是沈阳中化农药化工研发有限公司创制的新型仿生杀菌剂,由吉林省八达农药有限公司登记开发。

丁香菌酯化学结构独特,由香豆素和甲氧基丙烯酸酯两个天然产物片段组成,仅含碳、氢、氧3种元素。其具有广泛的杀菌活性,对黄瓜霜霉病、黄瓜灰霉病、小麦白粉病以及水稻纹枯病均具有很好的防效;同时对苹果腐烂病具有优异的防治效果,还能有效地抑制苹果树腐烂病病疤的复发,对病疤的愈合有非常明显的促进作用,效果也明显优于对照药剂嘧菌酯等。其为线粒体呼吸抑制剂,其对线粒体复合物III(泛醌-细胞色素c还原酶)具有明显的抑制活性,IC50值为0.052μmol/L,抑制活性显著高于多个已知的甲氧基丙烯酸酯杀菌剂。
采用中间体衍生化法,以β-酮酸酯为原料合成了数10个不同取代的、且含有羟基的香豆素中间体,并引入甲氧基丙烯酸酯类杀菌剂的结构片段,得到了具有一定杀菌活性的先导化合物1,对R1进行了优化,发现R1固定为甲基活性最好;继而对R2进行优化,当R2位置的氢被甲基替换时,活性有较大的提高,从而发现了先导化合物2;进一步优化,最终发现了杀菌活性最好的SYP-3375。

自2010年起,丁香菌酯已获得正式登记的产品如下:96%丁香菌酯原药(2016年正式登记PD20161260)、20%丁香菌酯悬浮剂(商品名武灵士,2016年正式登记PD20161261)、40%丁香·戊唑醇悬浮剂(商品名享尔,2018年正式登记PD20184039)、0.15%的丁香菌酯悬浮剂(商品名乐涂,2017年正式登记PD20172631)。
14.唑菌酯(pyraoxystrobin)与唑胺菌酯(pyrametostrobin)
唑菌酯(试验代号:SYP-3343,通用名称:pyraoxystrobin)与唑胺菌酯(试验代号:SYP-4155,通用名称:pyrametostrobin)均是沈阳化工研究院开发的甲氧基丙烯酸甲酯类杀菌剂。

唑菌酯对蔬菜和作物的霜霉病、白粉病、灰霉病、炭疽病、稻瘟病、褐斑病及早疫病、晚疫病等均有良好的防效,同等剂量下,优于嘧菌酯,同时具有明显的杀虫、杀螨活性。在美国陶氏益农(现科迪华)的试验结果表明:在相同剂量下,唑菌酯对小麦叶枯病、霜霉病、稻瘟病等6种病害的活性与嘧菌酯基本一致。唑胺菌酯对担子菌、子囊菌、结合菌及半知菌引起的大多数植物病害具有很好地防治作用,如霜霉病、白粉病、锈病、疫病等,与氰霜唑、戊唑醇和苯醚甲环唑之间无交互抗性。适用于黄瓜、小麦、玉米、苹果等蔬菜水果作物。二者均为线粒体呼吸抑制剂。
唑菌酯的创制是使用中间体衍生化法,以中间体β-酮酸酯为原料,合成独有的关键取代吡唑中间体,替代杀菌剂丁香菌酯化学结构中的香豆素部分。经过多轮DSTA即“设计-合成-测试-分析”研究而得。唑胺菌酯是在唑菌酯基础上参照吡唑醚菌酯的化学结构对甲氧基丙烯酸酯部分进行替换优化得到的。

唑菌酯化合物专利名称:取代唑类化合物及其制备与应用,申请日期:20040220,专利号:,专利权人:沈阳中化农药化工研发有限公司。同时在欧洲、美国等其他国家也都申请了专利:WO2005080344、US20080108668、EP1717231、JP2007523097、BRPI0507743。2018年,沈阳科创化学品有限公司获得95%原药(PD20181599)和25%氟吗·唑菌酯悬浮剂(PD20181598,防治黄瓜霜霉病和人参疫病)的正式登记。
唑胺菌酯化合物专利名称:一种芳基醚类化合物及其制备与应用,申请日期:20050526,专利号:,专利权人:沈阳中化农药化工研发有限公司。同时在欧洲、美国、日本等其他国家也都申请了专利:WO2006125370、US20080275070、EP1884511、JP2008545664等。2009年,科创公司获得95%唑胺菌酯原药(LS20110235)和20%唑胺菌酯悬浮剂(LS20110249)的临时登记,现已过期。
15.氯啶菌酯(triclopyricarb)
氯啶菌酯(试验代号:SYP-7017,通用名称:triclopyricarb)是沈阳化工研究院开发的氨基甲酸酯类杀菌剂。

1993年,巴斯夫对氨基甲酸酯类化合物进行了深入的研究,包括吡啶基类化合物,但并未在中国申请专利,沈阳化工研究院对吡啶基进行优化后发现了氯啶菌酯。其对小麦白粉病等具有很好的活性,与三唑类药剂戊唑醇、烯唑醇、氟环唑按一定比例混配后,对小麦白粉病的防治效果明显增加。其作用机理为线粒体呼吸抑制剂。
专利名称:N-(2-取代苯基)-N-甲氧基氨基甲酸酯类化合物及其制备与应用,申请日期:20050206,专利号:,专利权人:沈阳中化农药化工研发有限公司。同时在欧洲、美国也都申请了专利:WO2006081759、US20090048309、EP1845086。该技术转让给了江苏宝灵化工股份有限公司。2016年,该公司获得95%氯啶菌酯原药(PD20161257)和15%氯啶菌酯乳油(PD20161258)的正式登记;2018年,获得20%氯啶菌酯悬浮剂(PD20180174)的正式登记,用于防治小麦白粉病。
16.毒氟磷(dufulin)
毒氟磷(通用名称:dufulin)由贵州大学教育部绿色农药与农业生物工程重点实验室、贵州大学精细化工研究开发中心等开发的第一个仿生合成的植物免疫激活抗病毒的新农药。

毒氟磷是以绵羊瘤胃中的氨基磷酸酯类化合物为先导,参照相关抗病毒化合物结构,引入氟原子及杂环结构单元,经优化研究而得。主要防治水稻上黑条矮缩病、条纹叶枯病、烟草花叶病以及番茄、黄瓜等蔬菜的病毒病,对蜜蜂、家蚕、鱼等非靶标生物安全。
毒氟磷作用机理独特,被作物叶片吸收后可迅速传导全株,激活水杨酸信号分子,进而激活下游PAL、POD、SOD等植物防御因子,提高作物总体系统抗病性,最终使病毒无法增殖。
专利名称:N-取代苯并噻唑基-1-取代苯基-O,O-二烷基-α-氨基膦酸酯类衍生物及制备方法和用途,申请日期:20050404,专利号:,当前专利权人:广西田园生化股份有限公司。该公司于2016年获得98%毒氟磷原药(PD20160339)和30%毒氟磷可湿性粉剂(PD20160338,防治水稻黑条矮缩病和番茄病毒病)的正式登记。
17.甲噻诱胺(methiadinil)
甲噻诱胺(试验代号:SZG-7,通用名称:methiadinil)是南开大学2005年创制的中国第一个具有自主知识产权的植物激活剂。

日本农药株式会社于1996年公布的噻酰菌胺(tiadinil)的专利,其中包括列表化合物第461号,甲噻诱胺应是在其基础上对噻唑环优化得到的。其具有很好的诱导活性,对烟草病毒病和水稻稻瘟病、黄瓜霜霉病、黄瓜细菌性角斑病等病害有一定的防效。一般在作物苗期或未发病之前使用,持效期可达10~15天。初步研究发现,该化合物不仅可以抑制病原真菌菌丝的生长,也可以使菌丝畸变,而且还能抑制病原真菌孢子的萌发,或使孢子产生球状膨大物。
专利名称:新型[1,2,3]噻二唑衍生物及其合成方法和用途,申请日期:20060220,专利号:,当前专利权人:利尔化学股份有限公司。2017年,四川利尔作物科学有限公司获得96%甲噻诱胺原药(PD20170015)和25%甲噻诱胺悬浮剂(PD20170014,防治烟草病毒病)的正式登记。
18.补骨脂种子提取物——苯丙烯菌酮(isobavachalcone)
苯丙烯菌酮(通用名称:isobavachalcone)是由沈阳化工大学从补骨脂种子提取物中筛选得到一种有效抑菌成分,沈阳同祥生物农药有限公司对该产品进行了登记。

1968年,Bhalla等人从补骨脂中分离了五种新的黄酮类化合物,其中就包括该化合物。1979年,国内朱大元等对补骨脂的化学成分进行了分析鉴定得到该化合物。苯丙烯菌酮是补骨脂种子提取物的有效成分,对水稻稻瘟病菌、水稻纹枯病菌等均具有抑制活性。
申请专利:补骨脂酚用于防治植物病害的用途,申请日期:20080125,专利号:,专利权人:沈阳同祥农化有限公司。该公司于2019年获得了1.5%补骨脂种子提取物母药(PD20190058)和0.2%补骨脂种子提取物微乳剂(防治水稻稻瘟病,PD20190020)的正式登记。
19.氟醚菌酰胺(fluopimomide)
氟醚菌酰胺(试验代号:LH-2010A,通用名称:fluopimomide)由山东省联合农药工业有限公司与山东农业大学联合创制的新型含氟苯甲酰胺类杀菌剂。

该化合物选择氟吡菌胺(fluopicolide)作为先导化合物,采用“中间体衍生化法”对其结构进行替换修饰,经过一系列构效关系研究,最终得到了目标化合物——氟醚菌酰胺,相对于杀菌谱较窄的氟吡菌胺,氟醚菌酰胺对葡萄霜霉病、辣椒疫霉、马铃薯晚疫病、水稻纹枯病、棉花立枯病等多种真菌性病害都具有较高防效,可以在黄瓜、苹果、水稻、番茄等作物上使用。氟醚菌酰胺属于SDHI类杀菌剂,作用于真菌线粒体的呼吸链,抑制琥珀酸脱氢酶的活性,从而阻断电子传递,主要抑制真菌生长和繁殖阶段,杀菌作用由母体活性物质直接引起,没有相应代谢活性。
化合物专利名称:四氟苯氧基烟碱胺类化合物、其制备方法及用作杀菌的用途,申请日期:20100907,专利号:,专利权人:山东省联合农药工业有限公司。该公司于2017年获得了98%氟醚菌酰胺原药(PD20170010)、50%氟醚菌酰胺水分散粒剂(PD20170009,防治黄瓜霜霉病)及相关混剂的正式登记证。
