
编辑|文人学识

蛇瓜(,“Faqqous”)是地中海地区一种传统而古老的蔬菜。
在“公共花园”雨养实验中,使用seq-DArT标记在形态园艺和分子水平上种植了来自以色列和巴勒斯坦领土42各种植园的地方品种并对其进行了表征。
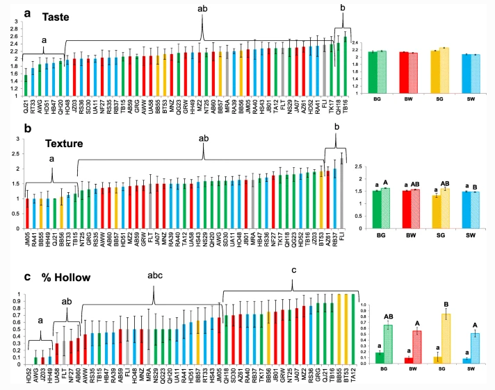
研究人员在不同的地方品种(“种群”)在形态和数量性状(如产量和雌性)上表现出广泛的差异,并聚集成四个园艺品种。
他们通过整个季节的五次收获来评估,中间收获的产量最高,产量与早期活力和雌性相关,但与晚期活力无关。
而在蛇瓜的DNA序列研究方面,研究人员却又发现了一些新的东西,它的发现也为植物及农作物的遗传改良奠定了新的基础。
Cucumismelo可能是葫芦科植物中遗传多样性最高的作物,在西方世界,蛇瓜的名字最为人所知。
它们包括Cucumismelovar。cantalupensis,具有更年期的芳香水果和,具有非跃变型、长期保存的果实,但该物种还包括野生种质()和一些非甜味栽培品种。
其中,Cucumismelovar屈肌蛇瓜,可能代表了甜瓜驯化的早期阶段,此时果实已经变得不苦,但还不甜,提供了一种清爽的蔬菜,可以在未成熟的果实阶段新鲜食用、腌制或煮熟。
这种植物的可食用性,实则如同南瓜和黄瓜在其中的引用类似,完全成熟结子后,它们也将变得不可食用。

蛇瓜植株雌雄同株,子房被短柔毛,果实、茎、叶柄和花梗伸长。当地蛇瓜的阿拉伯语名称Faqqous源自希伯来语术语“Piquous”(源自希腊语),表示食用前去除水果软毛。
Faqqous被古希伯来人称为Qishut,在圣经中被称为古埃及食用的蔬菜,在塔木德中被称为常见的葫芦类蔬菜,而黄瓜(Cucumissativus)到达该地区的时间要晚得多。
这也就意味着Faqqous在研究人员地区有很长的、可能不间断的栽培历史,使其成为一种有趣的种质资源,其遗传组成可以反映其古老和当地的起源。
目前,蛇瓜是一种传统的蔬菜作物,主要由以色列阿拉伯农民在下加利利和巴勒斯坦村庄的朱迪亚、撒马利亚和约旦河谷在雨养条件下种植。
研究人员在以色列-巴勒斯坦合作的框架内,收集了Faqqous收集品。
而在本研究中,收集的样本被播种在以色列的一块普通地块上,以获得对其园艺多样性的完整描述。

除此之外,研究人员还使用seq-DArT方法探讨了收集品的基因型多样性并评估了种群结构,收集的数据与气候和地理参数相关联,提供了关于在这个小而气候多样的地区塑造蛇瓜地方品种的可能力量的见解。
在分子水平上,蛇瓜基因序列产生了2784个SNP,并且90%被映射到甜瓜基因组。
种群非常多态(4个个体样本中46-72%的标记双等位基因),并且观察到的杂合性高于预期,表明种群之间的基因流动和田间个体之间的广泛异花授粉。
地方品种之间的遗传距离与采集地点之间的地理距离显着相关,以及长期的3月降水平均值;产量的变化与4月的最高温度相关。

农作物的地方品种代表了在不断变化的环境中育种的宝贵遗传资源、,地方品种对它们在驯化过程中进化的特定环境表现出良好的适应性。
它们通常拥有丰富的遗传多样性,这对传统农业的可持续性很重要,但在现代栽培品种中已被侵蚀。
因此,重要的是生成种质资源,彻底描述地方品种并评估其多样性。

而实验取材的以色列,则位于三个不同植物地理区域的边界:分别是地中海、撒哈拉-阿拉伯和伊朗-图拉尼亚区域。
在非常短的距离内,降雨量、温度状况和土壤类型存在显着差异。
此外,气候参数的年度波动很大,与非常稳定的环境相比,这种不稳定性被认为有利于遗传多样性。
除了自然因素外,这个地方的品种还受到人类积极农业实践的影响,这直接影响植物物候学和解剖学,并以此发挥着更多选择性。
并且,从长远来看,这将决定种群之间的遗传差异,这些可以通过在“公共花园”实验中来自不同环境的不断增长的人口来发现。
直到今天,它们在驯化下继续进化,作为作物基因库一部分的许多野生近缘植物仍在自然界中生长。

为了正确的建立该实验数据的集合,对来自给定农田的大约10株植物的单一开放授粉果实进行了采样,其种子代表了一个种质,来自同一领域的种质均匀混合并代表一个种群。
共同的花园实验是在Yezre'el山谷的Sandala的空地上进行的,研究人员选择了43个种群,分布在地理位置和Faqqous园艺类型之间,每个种群包括从所有种质中平均抽样的种子。
此外,还包括两个商业Faqqous品种和两个外类群,即来自印度的蛇瓜FLI和来自意大利的FLT。
研究人员种植了47个种群×每个种群12株植物,随机排列成三个重复(每个重复4株植物),田地被清理、犁过并预先施肥。
行间距为2m,行内的植物相距1m,于2015年3月23日在每个位置播种4-5粒种子,用手浇灌每个播种点约250毫升,并在5天后再次浇水以协助建立,并且没有提供任何进一步的灌溉。
由于2015年的春季寒冷,4月期间发育缓慢。幼苗被疏伐至单株/位置。播种后约55天开始收获,每3-4天持续一次,一直持续到6月下旬,当田地开始衰退时,对种子的缺水和疾病发展进行观测,并去到田间定期监测病虫害。

之后,研究人员再对每株植物的形态学、物候学和园艺性状分别进行评分。
播种后48天评估处于营养阶段的植物的早期活力(覆盖率),每株植物由独立人员评分两次。
研究人员进行了定性视觉评分,其中1代表最小的植物,5代表最大的植物。
除此之外,研究人员还计算了所有长度超过20厘米的树枝并记录了最长树枝的长度,作为早期植物活力的额外衡量标准。
由于这些措施是正相关的,研究人员进一步分析了视觉分数。

待到植物的雌花期,研究人员在播种后54天开始的三个日期对最早出现的雌花进行了评分,以获得对雌性早熟度的良好估计。
与此同时,研究人员还计算了在雌性开花开始的连续11天窗口中从开花前2天到开花后两天的雌花,作为对每株植物发育的雌花总数的定量估计。
通过观察发现,蛇瓜的叶子被分类为5种不同的形状,可通过不同深度的裂片来区分。
而在蛇瓜的未成熟时期,果实则会被研究人员连续采收,每2-3天采收一次。
研究人员进行了五次“样本收获”以提供产量估计,在这些“快照收获”之间,农民进行了未记录的额外商业收获。采摘长于10厘米的果实,记录每株果实的数量和总重量。

在两次实验收获中,描述了每株植物的果实,分析了每株植物的两个果实(最大的和最小的)。形态特征记录如下:
颜色:1-浅绿色,2-中绿色,3-深绿色,4-大理石花纹(在灰色背景上精细点缀)。
点:存在或不存在,直线度:1-直线,2-弯曲,3-缠绕,果实形状被确定为在果实发育过程中保持相当恒定的长度与直径的比率。
直径是在果实中间测量的,肋骨/外皮的皱纹:1-深,像Sahouri(很少有分界线,平行的皱纹);2-与1相似,但较浅;3-Baladi样(致密、有序的皱纹)、深沟4-与3相似,但较浅。

对于味道和质地的评估,在每次收获时,由三名参与者组成的团队对每株植物的两个果实进行分析。
苦味:存在/不存在。味道:1-好吃,3-不好吃。质地:1-硬而脆,3-软。空心果(果皮和胎盘之间的空间):存在/不存在(图1d)。
在这个季节的后期(播种后73天到94天),研究人员的得分是植物一般活力的六倍,直到7月份田地终于倒塌。
研究人员使用了从0(死植物)到5(绿色和活力)的视觉尺度,地块下的区域提供了衰老过程的综合逆向测量。

、
通过多样性阵列技术(seqDArT)进行基因分型
收集幼叶或侧枝尖用于从两个重复的单株植物中提取DNA,在田间冷藏并冷冻储存在深冷柜中。
通过CTAB方法制备了来自23个种群×4个个体的94个DNA样本和两个外群样本,并送往堪培拉DArT进行seqDArT基因分型。
Al-Beyroutiova等人详述了基因分型方案,除了用MseI消化代替HpaII,含有SNP的扩增子位于甜瓜基因组上,使用软件分析基因分型数据。

从每个采集点采集土壤样品并进行目视检查,土壤类型是根据以色列农业研究组织和土壤保护与排水部门的土壤调查详细土壤地图确定的。
土壤的碳酸钙含量是根据Rowell[24]使用由巴伊兰大学地理与环境系修改的设计确定。
吸湿水含量百分比通过称重风干土壤(Sw)来确定,然后烘箱干燥24h在105°C(Sd),计算为100×(Sw-Sd)/Sd)。

在之前的一项研究中,在以色列和约旦河西岸收集了蛇瓜(“Faqqous”)种质。
加入物包括来自单一植物的种子,这些种子来自农民田间的开放授粉,通过混合来自同一农民田地的10个随机选择的种质来组装种群。
为本研究选择了42个这样的种群或地方品种,旨在评估表型和分子多样性并研究共同花园设置中的种群结构,其中种质并排种植并进行比较。
这些地点的季节性温度、年降水量和土壤类型各不相同。这些种群属于四个园艺品种:Baladi,果实长,多皱纹,进一步分为浅绿色(“白色”)和深绿色(“绿色”)两种形式,Sahouri,果实较短,直而平行果皮上有沟纹,同样分为白色和绿色两种。
结论调查地区的地方品种分为四种形态不同的园艺品种,这些品种在遗传上也各不相同。
在该收集品中发现的种群内部和种群之间广泛的物候园艺变异表明,选择产量和相关性状(例如雌性和活力)可能会提高产量。
从个体种植者田地中提取的种群具有高度杂合性和多态性,这与雌雄同株植物之间的高异交率和位点之间的显着基因流动一致。
观察到的数量性状和气候变量之间的相关性可能表明地方品种对它们进化的多样化环境的局部适应,并支持研究人员认为蛇瓜是近东甜瓜驯化的古老环节的观点。
参考文献:【1】;39:56–67.
【2】PasamRK,SharmaR,WaltherA,OumlZkanH,GranerA,;9:e116164.
【3】DaninA,;156:43–53.
【4】WestbergE,OhaliS,ShevelevichA,FineP,;3:2471–84.
【5】PelegZ,SarangaY,KrugmanT,AbboS,NevoE,;31:39–49.
【6】Martinez-AinsworthNE,;339:268–73.